自1986年高温超导体被发现以来,高温超导机理的揭示一直是从事超导实验、理论和计算研究人员的重要目标。在高温超导发现之后的30多年里,非常规超导材料主要发现于铜基和铁基材料。铜基和铁基超导母体的性质具有很大的差异,前者电子具有高度的局域性,属于莫特绝缘体。后者的电子具有很强的巡游型,呈现出金属性。新超导体系的发现对高温超导机理的理解和新材料的发现具有重要意义。2019年,美国斯坦福大学Li等在元素周期表中介于铁元素和铜元素之间的镍基材料中发现了超导电性。反铁磁涨落是高温超导电子配对的驱动力之一。然而,镍基材料的磁性基态一直颇具争议。为了深入理解镍基超导磁性及其与超导性质的关联性,还需要解决两个重要问题:第一,厘清镍基超导中电子、轨道、自旋的多物理耦合机制,为磁序电子起源及磁维度与电子结构的关联提供合理的解释;第二,对于更重要的掺杂超导相区,是否具有与铜基超导类似的非公度(Incommensurate)反铁磁序(图1所示)?其物理起源是什么?

图1.非常规超导中的三种磁序示意图 (Sci. Adv. 2020; 6 : eaay7661)
兰州大学土木工程与力学学院张亚君副教授及其合作者建立了一套完整的从电子结构,到轨道贡献磁交换系数,到海森堡自旋模型及磁激发谱的计算框架。计算得到的2D磁构型(图2(a))和3D磁构型(图2(b))的磁交换系数比以往的结果有了很大的改进,与实验值吻合良好。基于准确的磁交换系数,复现了实验观测的散射谱(图2(c)-(d))。更为重要的是,实验所预言的2D反铁磁性是基于某段特殊的布里渊区路径 (图2(c)-(d) 蓝色背景区域) 所观测到的面外散射很弱而得出的判断。通过计算不同路径的磁散射谱,本文提出类似于铁基超导的弱3D磁结构同样可以在该特殊路径得到较弱的散射,而在G-Z面外路径依然具有很强的散射(图2(d))。基于此,本文指出了现有实验结果(Science 373, 213 (2021))并不足以判定磁维度,并提出镍基超导母体属于类似于铜基超导的2D反铁磁还是类似于铁基超导的弱3D反铁磁,还有待进一步的实验观测其他路径的磁散射谱。通过分析电子结构和轨道贡献的磁交换系数,本文建立了电子-轨道-磁交换作用-磁序多物理耦合模型,并指出2D磁序源于dx2-y2电子的作用,而3D磁序的面内磁交换作用源于dx2-y2电子的作用,面外的弱交换作用源于巡游的d3z2-r2电子的贡献。

图2. (a) 2D反铁磁序示意图, (b) 3D C-type反铁磁序示意图, (c) 2D及 (d) 3D磁序交换系数计算的磁散射普与实验对比
基于对母体磁性的精确预测,利用generalized Bloch theorem (GBT)和magnetic force theorem (MFT)两种完全不同的算法预言了空穴掺杂的镍基超导具有与铜基超导和铁基超导类似的非公度磁序。其自旋波矢q随掺杂浓度的变化具有与铜基超导相似的特征。该结果对深入理解高温超导机理中的反体磁关联提供了重要的理论支撑和推动作用。

图3. (a)-(d) J1和J3的本质及其对自旋排列的影响, (e)基于GBT、MFT和海森堡模型(粗实线)三种方法计算的非公度磁序d(d=0.5-q)随掺杂浓度x的变化的对比。
此外,尽管非公度磁序已经在铜基和铁基超导材料中证实,其形成机理仍然存在较大的争议。作者进一步分析了交换系数随掺杂浓度的变化,发现了面内一阶近邻(J1)和三阶近邻(J3)是最主要的交换作用且都对空穴掺杂高度敏感。通过对比J1和J3的本质及其对自旋排列的影响(图3(a)-(d)),本文发现无论一阶近邻属于反铁磁还是铁磁交换作用,其都将导致三阶近邻磁矩呈现铁磁排列,而三阶近邻若为反铁磁相互作用,会与一阶近邻竞争导致磁阻挫效应形成非公度磁序。当三阶磁交换作用为铁磁时,将与一阶近邻起到协同作用,共同促使三阶近邻磁矩的共线的铁磁排布。本文基于此提出了非公度磁序起源于一阶和三阶磁交换作用竞争的假设。
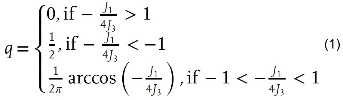
为了证实这个设想,建立了包含J1与J3的海森堡模型并理论计算了波矢q随掺杂浓度的变化。该模型的结果表明自旋磁序是由J3的属性(反铁磁或铁磁耦合)和J1与J3比值共同决定的(公式1和图3(e)),与基于GBT和MFT算法的结果及上面的理论预测高度一致(图3(e))。

为了从更微观的电子层面深入理解非公度磁序的起源,作者建立了磁交换系数、非公度磁序与构成库伯对的dx2-y2电子的联系。研究表明,空穴掺杂控制着dx2-y2电子的占据数以及自旋劈裂进而影响磁交换系数,J1与J3比值的变化最终决定了非公度磁序的产生及波矢q的变化。这一发现为非公度磁序的起源提供了新理论并给出了清晰的物理解释。

相关研究成果以“Incommensurate Magnetic Order in Hole-Doped Infinite-Layer Nickelate Superconductors due to Competing Magnetic Interactions” 为题发表在国际期刊《Advanced Functional Materials》(2023, 33 (30), 2304187)。兰州大学为独立通讯单位,张亚君副教授为通讯作者,他与比利时列日大学何旭研究员为共同第一作者。浙江大学王杰教授,列日大学Philippe Ghosez教授和之江实验室张菁桐博士后为论文的合作者。该工作得到了国家自然科学基金及兰州大学科研启动经费等的支持,数值计算工作得到兰州大学超算中心的大力支持。
签发:董洪亮

