青岛实验初中2023年初一新生电脑派位录取名单发布
信网
青岛生活服务门户网站
2023-05-27 12:44
关注
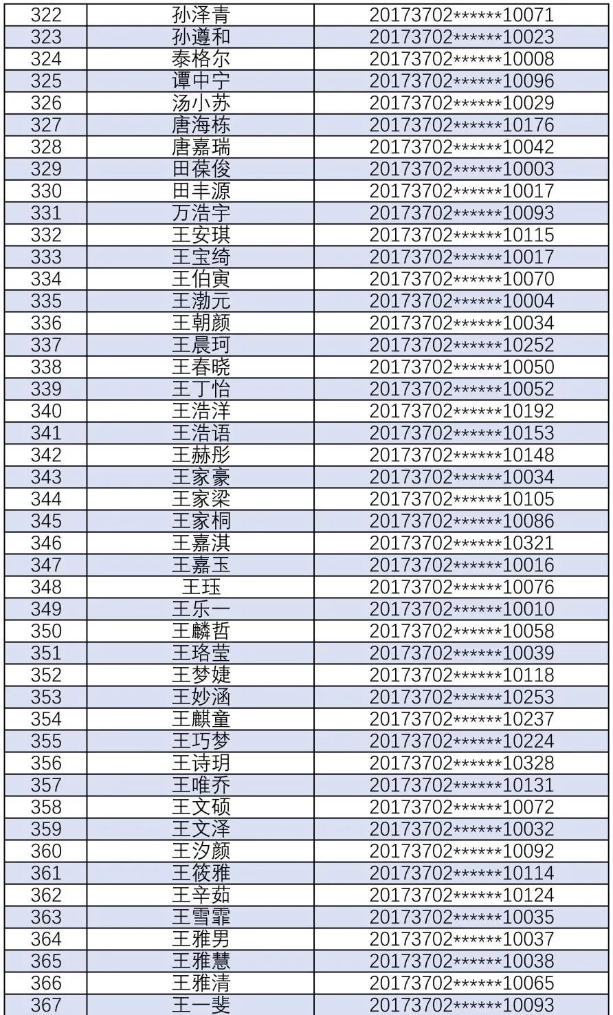
信网5月27日讯(记者 于晓)2023年5月27日上午,在青岛市人大代表,市政协委员,市南区公证处人员、市教育局领导、媒体记者和学生家长代表的监督下,青岛实验初中校采用电脑派位方式最终录取532名新生。
录取名单如下:












特别声明:本文为人民日报新媒体平台“人民号”作者上传并发布,仅代表作者观点。人民日报仅提供信息发布平台。
打开客户端发表评论

信网5月27日讯(记者 于晓)2023年5月27日上午,在青岛市人大代表,市政协委员,市南区公证处人员、市教育局领导、媒体记者和学生家长代表的监督下,青岛实验初中校采用电脑派位方式最终录取532名新生。
录取名单如下:











