✦✦ 为我们点亮小星星吧 ✦✦
亲爱的观众朋友们,喜欢我们的文章的话,请为我们点亮小星星哦
ヾ(=・ω・=)o
在公众号主页点击右上角,将我们『设为星标』,篇篇文章,新鲜好看~

图1. 层状云降水中主要冰粒子增长过程
学过高中地理的我们都知道,在对流层内,高度每下降100米,气温升高约0.6摄氏度。我们抬头望向天空,遥远的云端有很多冰粒子,它们从云中脱落并下降一段时间后,周边大气温度逐渐升高至0℃。这时冰雪粒子开始融化,变为冰水混合相态,直至完全融化为雨滴。在冰水转换过程中,如果你拿雷达照射这一区域,会发现这里的回波比其他地方都亮,科学家给这种现象起了一个名字叫作零度层亮带,那么零度层亮带是怎么形成的呢?我们先来了解一下它吧!
01
什么是零度层亮带
零度层亮带(Bright Band,BB)是大范围层状降水的雷达回波特征之一,它在PPI(高仰角)上表现为一明显的中强度色标圆环或圆弧,其强度常达30-40dBZ,较附近的回波要强10-20dBZ(如图2a、b、c所示)。在RHI(或剖面)上表现为一回波强度明显大于上下部分的窄条状回波亮带(如图2d所示)。由于天气雷达早期用荧光屏幕显示,在零度层的回波会显得比其上下更加明亮,故称其为零度层亮带。

(a)

(c)

(b)

(d)
图2. 零度层亮带基本反射率图像
不过,并非所有降水都能形成亮带,通常我们只能在层状降水中看到这种现象。在气象上,我们通常将降水分为对流降水和层状降水。对流降水垂直空气运动速度非常快,上升气流会将许多冰水粒子带入到大气中高层,当这些大粒子下落时,雷达回波会在剖面图上呈现出高反射率因子垂直柱(如图3左侧回波柱);相比之下,层状降水粒子下落速度远大于上升气流的速度,当冰粒子下落到零度层附近时,便会发生融化,并在雷达剖面图中形成零度层亮带(5km高度附近,如图3右侧均匀分布回波)。因此,零度层亮带是层状云降水回波的主要特征。

图3. 对流降水与层状降水雷达回波剖面
02
亮带成因及意义
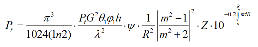
那么,亮带形成的主要原因有哪些呢,或者说,为什么在零度层附近,雷达回波会突然增强?为了回答这一问题,就不得不搬出雷达气象方程了。
雷达回波强度由雷达自身参数和降水区的大气状态等因素决定,我们通常用雷达气象方程表示它:

①
,其中Pr为雷达的脉冲峰值功率,R为雷达与探测目标物(云雨雪等)的距离,m为负折射指数,Z为雷达反射率因子,在瑞利散射条件下:

②
,其中D为粒子直径,n为粒子的数密度。
根据雷达气象方程,亮带形成主要有以下5个因素:
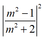
(1)融化效应:冰晶、雪花从高空下落到0度层附近,冰融化成水后介电常数增加,即①式中

项增大,粒子散射能力增强。(水粒子的介电常数(0.93)是冰粒子的(0.16)5倍)
(2)碰并效应:随着粒子融化,被水包裹的雪花更黏,它们更容易黏连、勾连在一起,即粒子之间碰并聚合作用增强,粒子直径变大,由②式可知粒子直径D增加会导致反射率因子Z增加,即雷达回波增强。
(3)速度效应:当冰晶完全融化后,在表面张力的作用下转变为球形雨滴,所受阻力减小,降落速度也比冰晶、雪花大很多,使得单位体积中降水粒子的数目n大大减少,由②式可知,反射率因子Z相应减小,亮带以下回波减弱,从而突出了亮带。
(4)粒子形状效应:冰雪粒子在下降过程中并不总是球形,非球形粒子的散射大于球形粒子的散射,因而散射能力增强。
(5)粒子破碎效应:大的雨滴受到的阻力较大,通常不会维持很久,当它们破碎或蒸发变为为小雨滴时,粒子直径减小,亮带下方反射率随之减小,突出了亮带。
总的来说,在亮带上半部分,由于融化引起的介电常数改变及粒子增长效应导致雷达回波强度急剧增大;在亮带下半部分,冰晶框架瓦解,速度效应使雷达回波强度减小,使得在0℃附近的融化层形成了一条水平延伸的强回波带:零度层亮带。

图4. 双频测雨雷达探测的一例降水雨团剖面
在实际气象应用中,零度层亮带有哪些意义呢?首先,零度层反映了在层状云降水中存在明显的冰水转换过程,亮带以上降水以冰晶、雪花(固态粒子)为主,亮带以下以雨滴(液态粒子)为主。通过探测亮带的有无可以帮助我们更好的区分对流与层状降水,并利于进一步讨论它们的降水机制差异。其次,亮带的存在表明层状云降水中气流稳定,无明显的对流运动。最后,根据0℃层亮带的高度,我们还可以推断大气中0℃等温线的高度。
03
不同仪器照射下的零度层亮带
近年来,随着气象仪器的不断发展,双频雷达和双偏振雷达可以提供给我们更多的降水粒子信息,在亮带探测方面这两种雷达也有着各自的优势。
双频测雨雷达,顾名思义,就是可以发射两个不同波段电磁波的雷达,不同波段雷达在遇到同一目标物时探测到的信号不同,举个例子,图5中蓝色实线和红色实线分别代表Ku和Ka波段雷达探测到的降水回波信号,由于Ku波段较Ka波段波长更长(穿透能力更强),故它在遇到气象目标物时信号衰减较弱,探测到的雷达回波就更强。利用这种双波段探测信号差异,即双频比DFRm,可以进行亮带识别。我们可以看到对于层状降水(图5左),DFRm廓线(黑色虚线)有着清晰的峰值及上下边界,指示了亮带的存在,但对于对流降水(图5右),DFRm廓线没有这种特征,说明对流降水并不存在亮带。

图5. 双频测雨雷达探测的层状(左)及对流(右)降水反射率因子廓线
与双频雷达不同,双偏振雷达是指能够同时发射水平(H)和垂直(V)两种极化方式电磁波的雷达,这两种不同极化状态的电磁波照射到各种降水粒子上,其后向散射回波可以“告诉”我们粒子的形状、大小、方向。双偏振雷达也可以提高对零度层亮带的识别能力,其三个偏振参量:相关系数ρHV,差分反射率ZDR以及差分相位移率KDP,都对亮带敏感,有时雷达回波强度场中亮带特征并不明显(图6a),但ρHV, ZDR及KDP却能很好指示零度层位置(图6b、c、d黑色箭头位置)。

图6. C波段双偏振雷达各参量分布图(a:反射率因子Z,b: 差分反射率ZDR,c: 相关系数ρHV,d: 差分相位移率KDP)
以上就是对零度层亮带的简单介绍啦,最后还有几点需要注意:
(1)不同地区、不同季节零度层高度不同,因此零度层亮带高度也会变化(对流层高度都是这样)
(2)降雪时,由于近地面温度常低于0℃,粒子不存在冰水转换过程,故不会出现零度层亮带。
(3)由于冰晶和雪花在大于0℃时才开始融化,所以零度层亮带通常出现在0℃以下区域
那么最后给大家留给小问题,雨夹雪时候能不能看到零度层亮带呢?快把你的回答留在留言板吧!
参考文献
Steiner, M., R. A. Houze Jr., and S. Yuter, 1995: Climatological characterization of three-dimension storm structure from operational radar and rain gauge data. J. Appl. Meteor., 36(7), 847-867
Fabry, F., and I. Zawadzki, 1995: Long-term radar observations of the melting layer of precipitation and their interpretation. J. Atmos. Sci., 52(7), 838–851
Le, M., and V. Chandrasekar, 2013: Precipitation type classification method for Dual-Frequency Precipitation Radar (DPR) onboard the GPM. IEEE Trans. Geosci. Remote Sens., 51(3), 1784-1790
陈军,王金虎,万发雨,范盼,韩颂雨.基于CST软件的零度层亮带成因分析[J].兰州大学学报(自然科学版),2017.
姚晓娟,魏鸣,杜爱军,卢美圻.偏振雷达参量对融化层回波的探测敏感性分析[J].科学技术与工程,2016.
近期文章

咸吃萝卜盐操心
——川蜀井盐

震惊!眼影化妆品中竟然含有这种天然矿物?

矿物颜料那些事
——只此青绿(石绿)

高考时的天气
为什么总不够美好?
石头
DR.STONE
工作室
科普
撰稿:杨柳
美编:刘俞伶
DR.STONE · 致力于地球和空间科学科普
