


深海迷航是一款深海主题的开放世界生存游戏。游戏中的主角飞船被外星大炮击毁,流落在一个几乎全是海洋的外星星球上——也就是4546B星。玩家需要深入探索这片深海世界,解开水下数千米的世界中埋藏的秘密,从而逃离这里。

小编个人觉得这个游戏非常经典。虽然已经是6年多以前的游戏,但至今回忆起来,还是难以忘怀身处深海之下,那缠绕、溶解在一起的瑰丽和凶险,那渗透、浸润入四肢的恐惧和刺激。这个游戏让我们这些生活在水面之上,脚踏实地的生物,体会了一番水面之下,漂浮不定的刺激生活。

图注:4546B星球深海中的瑰丽景象。
这次,我们来聊一聊深海迷航中,一个推动故事剧情发展的重要建筑——外星大炮。游戏中,主角的飞船是被外星大炮打爆的。后来,前来救援主角的飞船也被外星大炮一发入魂。这个大炮威力无匹,压倒一切——学物理的小编我,就生起了兴趣——外星大炮的威力到底有多大?

当然,不能跟游戏太较真。所以这次,我们不打算求出外星大炮一发炮弹的具体能量值,我们将会通过对比,确定它能量的上限和下限——一起来推导一下吧!

图注:危机四伏的外星海底火山区域
一、 以子之矛,攻彼之盾
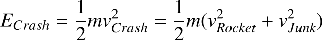
首先我们计算外星大炮的攻击力下限。大炮一击就打碎了阳光号的防护盾和船体,导致其在空中解体,粉身碎骨。因此,外星大炮至少可以击穿阳光号的护盾。我们并不知道阳光号的护盾到底有多大的强度,但是我们有另一个可以参考的飞行器——海王星号逃逸火箭。

海王星号逃逸火箭上安装了一套护盾模组,我们可以利用这个护盾的强度,来大致推测阳光号的护盾强度——毕竟这些护盾都是游戏中的黑心企业Alterra生产的,具有一定的可比性。

海王星号在结尾动画中,直冲云霄,然后撞上了之前被轰碎的阳光号和极光号残留在近地轨道上的太空垃圾——它的护盾救了主角一命,非常极限地扛住了太空垃圾的撞击。

所以说,轨道中的太空垃圾,与海王星号相互撞击的能量,就是这套护盾所能够承受的极限攻击力,也可以看作是外星大炮所需的攻击力的下限。

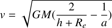
大体上,轨道上的太空垃圾以圆周运动环绕着4546B行星飞行,方向为圆周的切向;而海王星号升空的方向则是竖直向上,沿圆周的径向,与太空垃圾运动方向垂直。所以,撞击瞬间的合速度,是两者速度的平方和的平方根,即:

火箭的速度我们可以通过升空时间来推算——考虑到4546B在设定上比地球小,我们认为其大气层只有70km厚。

如图,游戏中,火箭升空到碎片区域一共用了21秒,那么,撞击前火箭的速度大约是6667m/s。
地球近地轨道的轨道速度多种多样,取决于飞行器具体的轨道参数。但大体上,可以用下面的公式来估算:

其中G是万有引力常量,M是中心天体的质量,h是飞行器当前轨道高度,Re是地球半径,a是飞行器轨道半长轴。一般来说,像国际空间站这种轨道高度约400km的飞行器,其轨道速度大约是7600m/s。游戏设定中说,4546B比地球要小,那我们就算它5000m/s吧。

如果认为当时撞上来的太空垃圾是100kg,那么,第一次撞击的能量大约是35亿焦耳——大概是一吨TNT炸药,在不到一秒的瞬间,将全部能量集中释放到海王星飞船护盾上不到一平方米的地方。

值得说明的是,我们的计算不准确——任何一个合格的高中生都能够发现,我们忽略了动量交换,直接采用了完全非弹性碰撞的计算方法,这是不科学的。

每秒每平方米35亿焦耳的能量都没能完全打破海王星的护盾,外星大炮的能量射流(应该是等离子体射流)轻而易举地就撕碎了它。所以,外星大炮的能量等级至少是50亿焦耳每秒每平方米。
假设外星大炮的射流截面积大约是40平方米,单次发射持续了3秒时间,那外星大炮的炮口能量就至少达到了600G焦耳,大约150吨TNT集中在一个小房间里爆炸,非常恐怖。

所以我们计算出了外星大炮威力的下限——600G焦耳。
二、 流金铄石,削铁如泥

大家回想一下,外星大炮虽然轻易击毁了阳光号飞船,但并没有将他蒸发为灰烬。所以我们现在假设——假如要将阳光号这么大的一坨铁,完全融化为铁水,需要多少能量?

游戏中并没有给出阳光号的具体尺寸。不过,考虑到他是一艘乘员6人的小型公务船,其长度应大致在100米左右,截面半径约10米左右。这样一来,体积大约是3万立方米。

既然是飞船,材料的热性能肯定比铁好。铁的熔化热是450kJ/kg,即熔化1kg铁大约需要450kJ热量。假设要熔化这艘飞船,相当于熔化3000吨铁——那么,需要的能量就是1350GJ。

在游戏中,外星大炮一共发射了三秒钟,其中前两秒就将阳光号完全摧毁,第三秒基本上是个余波,用于确认击杀。所以外星大炮的威力上限,大约是2000GJ。
那么,我们来总结一下——外星大炮的威力,可能介于600GJ到2000GJ之间,这是人类目前的枪和炮都远远达不到的能量层级——只有氢弹可以与之相较高下。

感到恐怖吗?其实并不恐怖,毕竟,地球周围环绕的太空垃圾,某种程度上也可以达到相似的杀伤效果——所以保护临近空间安全刻不容缓。

感到向往吗?确实有点向往,毕竟并非每个人都有机会乘坐上最先进的深潜器,真正亲身去体验海底2000米深处的隐秘世界。

或者?也并不是没有机会?
美编:ZYN
校对:覃华清、江淑敏

